48/2(9+3)=?

Discussion in 'General Off-Topic chat' started by Go-Big, Apr 12, 2011.

  1. Go-Big

    Go-Big

    Joined:
    Nov 5, 2010
    Messages:
    737
    Likes Received:
    4
    Location:
    George
    Got this from a other forum and at 500 treads in 2 days there is no concensus.

    The two answers is 2 and 288. Calculated as follows

    48/2(9+3)=
    48/(18+6)=
    48/24=2

    or

    48/2(9+3)=
    24x(9+3)=
    24x12=288

    IMO the answers is 2.
     
  2. Guest




  3. snail

    snail

    Joined:
    Mar 3, 2011
    Messages:
    277
    Likes Received:
    0
    Location:
    Toti
    had this debate on a different forum last week. cut a long story short just use the rule BODMAS.
     
  4. shihr

    shihr Glosso

    Joined:
    Jul 26, 2010
    Messages:
    1,838
    Likes Received:
    18
    Location:
    JHB
    yes,
    id say
    48/2(12)
    48/24
    2

    i think this is wrong because i'd get:
    48/2(9+3)=
    24/(9+3)=
    24/12=2

    this is right
     
  5. Pleco102

    Pleco102

    Joined:
    Feb 22, 2011
    Messages:
    137
    Likes Received:
    0
    Location:
    Pretoria,Olympus
    I'd say its 2 aswell. Coz u first do your brackets, then multiplication and lastly division.
     
  6. shihr

    shihr Glosso

    Joined:
    Jul 26, 2010
    Messages:
    1,838
    Likes Received:
    18
    Location:
    JHB
    oh i see.. depends on what it means.. if its (48/2)(9+3) then this is 288 if its 48/(2(9+3)) then its 2
     
  7. Rory

    Rory Administrator

    Joined:
    Sep 5, 2008
    Messages:
    2,355
    Likes Received:
    17
    Location:
    JHB
    Correct answer is 288.
    48/2(9+3)

    You do the brackets first so
    48/2(12)

    But remember 2(12) doesn't count as "brackets" in BODMAS/BOMDAS, it's actually 2 x (12)
    So we have:
    48 / 2 x 12
    With division and multiplication being on the same level we do it from left to right.
    24 x 12
    288
     
  8. ACE007

    ACE007 VA-TI-KA-KI

    Joined:
    Jul 29, 2009
    Messages:
    872
    Likes Received:
    12
    Location:
    /\/¯¯¯¯¯\/\ Goodwood
    :withstupid:
     
  9. shihr

    shihr Glosso

    Joined:
    Jul 26, 2010
    Messages:
    1,838
    Likes Received:
    18
    Location:
    JHB
    yes but what if its a=(9+3) so 48/2a = 24/a = 24/12 = 2?

    you cant say that 48/2(9+3) is the same as 48/2x(9+3)
     
  10. DesertConvert

    DesertConvert Toad

    Joined:
    Feb 5, 2011
    Messages:
    571
    Likes Received:
    9
    Location:
    Pretoria
    The correct answer is 2
     
  11. shihr

    shihr Glosso

    Joined:
    Jul 26, 2010
    Messages:
    1,838
    Likes Received:
    18
    Location:
    JHB
    i think that the problem is that its not written in proper mathematical format.. because if written differently, it is different answers: [​IMG]

    so i say 48/2(9+3) is ambiguous which means the answer is 288 and 2? :p hehe
     
  12. DesertConvert

    DesertConvert Toad

    Joined:
    Feb 5, 2011
    Messages:
    571
    Likes Received:
    9
    Location:
    Pretoria
    I suppose it is ambiguous to a degree, but if you want the top Untitled.jpgversion to be correct you would have to put parentheses around the 48/2. The way it is written, we first resolve the 2(9+3) to 24, and then perform the division.

    Untitled.jpg
     
  13. Rory

    Rory Administrator

    Joined:
    Sep 5, 2008
    Messages:
    2,355
    Likes Received:
    17
    Location:
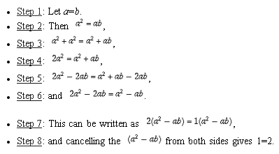
    JHB
    Also, 1=2...

    Proof:
    [​IMG]
     
  14. DesertConvert

    DesertConvert Toad

    Joined:
    Feb 5, 2011
    Messages:
    571
    Likes Received:
    9
    Location:
    Pretoria
    Then again, I could be wrong link :sick::mad:
     
  15. DesertConvert

    DesertConvert Toad

    Joined:
    Feb 5, 2011
    Messages:
    571
    Likes Received:
    9
    Location:
    Pretoria
    ztw2nqiwa7k07cwppf22.png In step 4 you would factor out the "a" to "a(a + b)". Dividing 2a(squared) by "a" gives you 2a = a + b.

    ztw2nqiwa7k07cwppf22.png
     
  16. shihr

    shihr Glosso

    Joined:
    Jul 26, 2010
    Messages:
    1,838
    Likes Received:
    18
    Location:
    JHB
    well its because you are starting with the wrong definition.
    a = b is false
    if a=b then this means that b=a which means that a=a and b=b

    so obviously if u start out with a=b the overall equation will be wrong

    clever though.. took me a few mins :p
     
    Last edited: Apr 12, 2011
  17. shihr

    shihr Glosso

    Joined:
    Jul 26, 2010
    Messages:
    1,838
    Likes Received:
    18
    Location:
    JHB
    ok my explanation is abit flawed but the problem in the equation stems from the start :p
     
  18. DesertConvert

    DesertConvert Toad

    Joined:
    Feb 5, 2011
    Messages:
    571
    Likes Received:
    9
    Location:
    Pretoria
    Yep, but "a" could equal 1 and "b" could equal 1, in which case a=b is true.
     
  19. shihr

    shihr Glosso

    Joined:
    Jul 26, 2010
    Messages:
    1,838
    Likes Received:
    18
    Location:
    JHB
    so if a=b and you subs into the equation in the last line 2(a(sq)-ab) = 1(a(sq)-ab)

    then this will give you
    2((b(sq)-b(sq)) = 1 ((b(sq)-b(sq))
    2(0) = 1(0)
    0=0
    which is correct.. i rem something abt this sum in maths at varsity.. cant rem now.. hmm
     
  20. Nadeem

    Nadeem

    Joined:
    Sep 7, 2010
    Messages:
    260
    Likes Received:
    0
    Location:
    cape town - goodwood
    2(9+3) means addition inside the bracket FIRST, no sign between '2' and bracket, means multiplication.
    so its 48/24 = 2

    a,b,c,d,e does not constitute 1,2,3,4,5
    in a proof, they are basically UNKNOWNS, so A = B, is 1=1 or 2=2 or 3=3 or 4=4 or 5=5... NOT 1=2
     
    Last edited: Apr 12, 2011
  21. shihr

    shihr Glosso

    Joined:
    Jul 26, 2010
    Messages:
    1,838
    Likes Received:
    18
    Location:
    JHB
    oh i think it was that you not allowed to cancel out all variables of the equation! yes.. else answer will be incorrect.. so if you were left with a= something or b= something it would be right?? something like that..

    Math was so long ago :p hehe
     

Recent Posts

Share This Page